ᠲᠡᠷᠢᠭᠦᠨ ᠬᠠᠭᠤᠳᠠᠰᠤ
ᠰᠣᠨᠢᠨ ᠮᠡᠳᠡᠭᠡ
ᠢᠯᠡ ᠵᠠᠰᠠᠭ
ᠦᠢᠯᠡᠴᠢᠯᠡᠭᠡ
ᠨᠣᠭᠤᠭᠠᠷᠠᠭᠤᠯᠤᠯᠲᠠ
ᠳᠤᠷᠠᠨ ᠬᠠᠷᠠᠭ᠎ᠠ
ᠤᠳᠤᠷᠢᠳᠤᠯᠭ᠎ᠠ᠎ᠶᠢᠨ ᠲᠠᠨᠢᠯᠴᠠᠭᠤᠯᠭ᠎ᠠ
ᠨᠣᠭᠤᠭᠠᠷᠠᠭᠤᠯᠤᠯᠲᠠ   -   ᠣᠶ᠋ᠢᠵᠢᠭᠤᠯᠤᠯᠲᠠ
                         
ᠨᠡᠶ᠋ᠢᠲᠡᠯᠡᠭᠰᠡᠨ ᠴᠠᠭ᠄ 2025-08-15

 

                                                                                                                                          Agriculture   JCR               3 . 6                                                                  

      Effects of Legume–Grass Mixture Combinations and Planting Ratios on Forage Productivity and Nutritional Quality in Typical Sand-Fixing Vegetation Areas of the Mu Us Sandy Land                                                                                                1  1                                                                                                        Topsis       1  1                                     

 

 

 

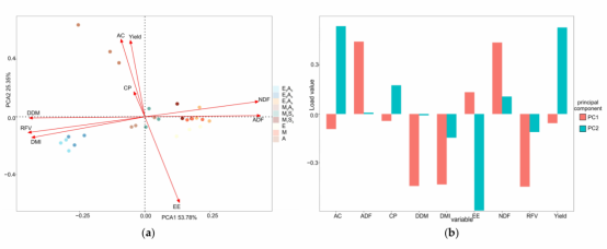
 1  a                

 b  PCA      PC 1  PC 2    

 

 

 

 

 2              

 

 

 3               

ᠢᠷᠡᠯᠲᠡ᠄           
          
ᠬᠠᠮᠢᠶ᠎ᠡ ᠪᠦᠬᠦᠢ ᠰᠣᠨᠢᠨ
 
             蒙ICP备05000248号