ᠲᠡᠷᠢᠭᠦᠨ ᠬᠠᠭᠤᠳᠠᠰᠤ
ᠠᠵᠢᠯ᠎ᠤᠨ ᠪᠠᠶ᠋ᠢᠳᠠᠯ
ᠢᠯᠡ ᠵᠠᠰᠠᠭ
ᠲᠤᠭ᠎ᠠ ᠪᠦᠷᠢᠳᠭᠡᠯ᠎ᠤᠨ ᠦᠢᠯᠡᠴᠢᠯᠡᠭᠡ
ᠲᠤᠭ᠎ᠠ ᠪᠦᠷᠢᠳᠭᠡᠯ᠎ᠤᠨ ᠦᠢᠯᠡᠴᠢᠯᠡᠭᠡ  -   ᠲᠤᠭ᠎ᠠ ᠪᠠᠷᠢᠮᠳᠠ᠎ᠶᠢᠨ ᠵᠢᠷᠤᠭ ᠬᠦᠰᠦᠨᠦᠭᠳᠦ
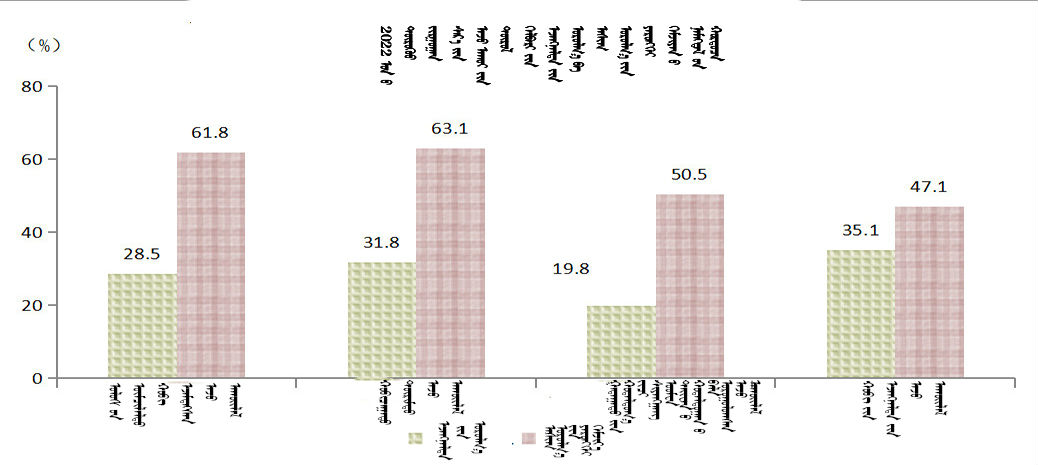
2022 ᠤᠨ᠎ᠤ ᠲᠦᠷᠦᠭᠦᠦ ᠵᠢᠷᠭᠤᠭ᠋ᠠᠨ ᠰᠠᠷ᠎ᠠ ᠵᠢᠨ ᠠᠵᠤ ᠠᠬᠤᠢ ᠵᠢᠨ ᠲᠦᠷᠦᠯ ᠬᠡᠯᠪᠡᠷᠢ ᠵᠢᠨ ᠡᠵᠡᠩᠨᠡᠯᠳᠡ ᠵᠢᠨ ᠤᠷᠤᠯᠭ᠎ᠠ ᠪᠠ ᠠᠰᠢᠭ ᠤᠷᠤᠯᠭ᠎ᠠ ᠵᠢᠨ ᠶᠡᠷᠦᠩᠬᠡᠢ ᠬᠡᠮᠵᠢᠶᠡᠨ᠎ᠤ ᠨᠡᠮᠡᠭᠳᠡᠯ᠎ᠤᠨ ᠬᠤᠷᠳᠤᠴᠠ
ᠨᠡᠶ᠋ᠢᠲᠡᠯᠡᠭᠰᠡᠨ ᠴᠠᠭ᠄ 2022-08-01

ᠢᠷᠡᠯᠲᠡ᠄ ᠥᠪᠥᠷ ᠮᠣᠩᠭᠣᠯ᠎ᠤᠨ ᠥᠪᠡᠷᠲᠡᠭᠡᠨ ᠵᠠᠰᠠᠬᠤ ᠣᠷᠣᠨ᠎ᠤ ᠲᠣᠭ᠎ᠠ ᠪᠦᠷᠢᠳᠬᠡᠯ᠎ᠤᠨ ᠲᠣᠪᠴᠢᠶ᠎ᠠ
          
ᠬᠠᠮᠢᠶ᠎ᠡ ᠪᠦᠬᠦᠢ ᠰᠣᠨᠢᠨ
ᠡᠯ᠎ᠡ ᠰᠠᠷ᠎ᠠ ᠵᠢᠨ ᠪᠦᠬᠦ ᠤᠷᠤᠨ᠎ᠤ ᠬᠡᠪᠴᠢᠶᠡᠵᠢᠯ᠎ᠳᠤ ᠬᠦᠷᠦᠭᠰᠡᠨ ᠠᠵᠤ ᠦᠢ᠍ᠯᠡᠳᠪᠦᠷᠢ ᠵᠢᠨ ᠠᠵᠤ ᠠᠬᠤᠢ᠌ᠯᠠᠯ᠎ᠤᠨ ᠨᠡᠢ᠌ᠲᠡ ᠡᠵᠡᠩᠨᠡᠯᠳᠡ ᠵᠢᠨ ᠤᠷᠤᠯᠭ᠎ᠠ ᠪᠠ ᠠᠰᠢᠭ ᠤᠷᠤᠯᠭ᠎ᠠ ᠵᠢᠨ ᠶᠡᠷᠦᠩᠬᠡᠢ ᠬᠡᠮᠵᠢᠶᠡᠨ᠎ᠤ ᠠᠳᠠᠯᠢ ᠬᠤᠭᠤᠴᠠᠭ᠋ᠠᠨ᠎ᠤ ᠨᠡᠮᠡᠭᠳᠡᠯ᠎ᠤᠨ ᠬᠤᠷᠳᠤᠴᠠ
ᠡᠯ᠎ᠡ ᠰᠠᠷ᠎ᠠ ᠵᠢᠨ ᠪᠦᠬᠦ ᠤᠷᠤᠨ᠎ᠤ ᠬᠡᠪᠴᠢᠶᠡᠵᠢᠯ᠎ᠳᠤ ᠬᠦᠷᠦᠭᠰᠡᠨ ᠠᠵᠤ ᠦᠢ᠍ᠯᠡᠳᠪᠦᠷᠢ ᠵᠢᠨ ᠠᠵᠤ ᠠᠬᠤᠢ᠌ᠯᠠᠯ᠎ᠤᠨ ᠨᠡᠢ᠌ᠲᠡ ᠠᠰᠢᠭ ᠤᠷᠤᠯᠭ᠎ᠠ ᠵᠢᠨ ᠨᠤᠷᠮ᠎ᠠ ᠪᠠ ᠵᠠᠭᠤᠨ ᠲᠦᠭᠦᠷᠢᠭ ᠪᠦᠷᠢ ᠵᠢᠨ ᠡᠵᠡᠩᠨᠡᠯᠳᠡ ᠵᠢᠨ ᠤᠷᠤᠯᠭ᠎ᠠ᠎ᠳᠠᠬᠢ ᠦᠪᠡᠷ᠎ᠤᠨ ᠦᠷᠲᠡᠭ
2022 ᠤᠨ᠎ᠤ ᠪᠦᠬᠦ ᠤᠷᠤᠨ᠎ᠤ ᠨᠡᠢ᠌ᠭᠡᠮ᠎ᠤᠨ ᠬᠡᠷᠡᠭᠯᠡᠭᠡᠨ᠎ᠤ ᠵᠦᠢ᠍ᠯ᠎ᠢ ᠵᠢᠵᠢᠭᠯᠡᠨ ᠪᠤᠷᠤᠯᠠᠭᠤᠯᠤᠭᠰᠠᠨ ᠶᠡᠷᠦᠩᠬᠡᠢ ᠲᠤᠭ᠋ᠠᠨ᠎ᠤ ᠠᠳᠠᠯᠢ ᠬᠤᠭᠤᠴᠠᠭ᠋ᠠᠨ᠎ᠤ᠎ᠬᠢ᠎ᠠᠴᠠ ᠨᠡᠮᠡᠭᠳᠡᠭᠰᠡᠨ ᠪᠠᠢ᠌ᠳᠠᠯ
1-8 ᠳ᠋ᠤᠭ᠋ᠠᠷ ᠰᠠᠷ᠎ᠠ ᠵᠢᠨ ᠪᠦᠬᠦ ᠤᠷᠤᠨ᠎ᠤ ᠬᠢᠵᠠᠭ᠋ᠠᠷᠯᠠᠭᠰᠠᠨ ᠲᠤᠭ᠎ᠠ᠎ᠠᠴᠠ ᠳᠡᠭᠡᠭᠰᠢᠬᠢ ᠠᠷᠠᠳ᠎ᠤᠨ ᠠᠮᠢᠳᠤᠷᠠᠯ᠎ᠤᠨ ᠲᠦᠷᠦᠯ᠎ᠤᠨ ᠬᠡᠷᠡᠭᠯᠡᠭᠡᠨ᠎ᠤ ᠨᠡᠮᠡᠭᠳᠡᠯ᠎ᠤᠨ ᠪᠠᠢ᠌ᠳᠠᠯ
8 ᠳ᠋ᠤᠭ᠋ᠠᠷ ᠰᠠᠷ᠎ᠠ ᠵᠢᠨ ᠪᠦᠬᠦ ᠤᠷᠤᠨ᠎ᠤ ᠬᠢᠵᠠᠭ᠋ᠠᠷᠯᠠᠭᠰᠠᠨ ᠲᠤᠭ᠎ᠠ᠎ᠠᠴᠠ ᠳᠡᠭᠡᠭᠰᠢᠬᠢ ᠰᠢᠨ᠎ᠡ ᠡᠨᠧᠷᠭᠢ ᠵᠢᠨ ᠮᠠᠰᠢᠨ ᠲᠡᠷᠭᠡᠨ᠎ᠤ ᠵᠢᠵᠢᠭᠯᠡᠨ ᠪᠤᠷᠤᠯᠠᠭᠤᠯᠤᠭᠰᠠᠨ ᠨᠤᠷᠮ᠎ᠠ ᠵᠢᠨ ᠨᠡᠮᠡᠭᠳᠡᠯ᠎ᠤᠨ ᠪᠠᠢ᠌ᠳᠠᠯ
 
            